こんにちは。佐井寺ゼミナールです。
数学のメインは計算!
計算が苦手だと、文章問題・関数・図形などあらゆる単元で計算がついてきます。
そのために、計算力は必要不可欠!!
では、どのような方法が計算力を身につきやすいのかお伝えします。
それは、機械のように「同じやり方で毎回解くこと」がとても大事になるのです。
そのための具体的な方法が「途中式を書く」ということなのです。
累乗を外す⇒わり算をかけ算に⇒約分する。
という風に毎回同じやり方をすることで、新しい計算に進んでも今までと同じやり方で解けます。
そんなことかと思った方もいるかと思います。
これが案外難しい!!
やっぱり、少しでも楽したくなるのが人というもの!
途中計算を「暗算でやる方が楽やん!」という方もいます。
筆算に頼らず暗算することで、計算が早くなった経験を持つことでこんな考え方も芽生えるのもおかしくありません。
これに対する答えは‥もちろん暗算の方が速いです。
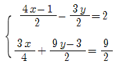
しかし、暗算で求める方は
という複雑な問題、工程の多い問題を解く場合でも暗算で解こうとしてしまう傾向にあります。
途中式を書こうと思っても書き慣れていないのもあり、間違えてしまう。ということも起こってきてしまうのです。
そういった生徒を見てきました。
どれだけ複雑で面倒そうな問題でも工程が増えるだけで、途中式をかけば正解に導くことができます。
そのため、
本当の計算力とは途中式を書き続けることでしか鍛えられないのです。
途中式を書くこと以外に、中学生からは筆算を止めることなど計算の仕方はガラッと変わります。
今のやり方でいいのか不安になったらぜひご相談を!
TEL:06-6816-7133
